• 11.5 流形学习
    • 11.5.1 等度量映射(Isomap)
    • 11.5.2 局部线性嵌入(LLE)

    11.5 流形学习

    流形学习(manifold learning)是一种借助拓扑流形概念的降维方法流形是指在局部与欧式空间同胚的空间,即在局部与欧式空间具有相同的性质,能用欧氏距离计算样本之间的距离。这样即使高维空间的分布十分复杂,但是在局部上依然满足欧式空间的性质,基于流形学习的降维正是这种“邻域保持”的思想。其中等度量映射(Isomap)试图在降维前后保持邻域内样本之间的距离,而局部线性嵌入(LLE)则是保持邻域内样本之间的线性关系,下面将分别对这两种著名的流行学习方法进行介绍。

    11.5.1 等度量映射(Isomap)

    等度量映射的基本出发点是:高维空间中的直线距离具有误导性,因为有时高维空间中的直线距离在低维空间中是不可达的。因此利用流形在局部上与欧式空间同胚的性质,可以使用近邻距离来逼近测地线距离,即对于一个样本点,它与近邻内的样本点之间是可达的,且距离使用欧式距离计算,这样整个样本空间就形成了一张近邻图,高维空间中两个样本之间的距离就转为最短路径问题。可采用著名的Dijkstra算法Floyd算法计算最短距离,得到高维空间中任意两点之间的距离后便可以使用MDS算法来其计算低维空间中的坐标。

    13.png

    从MDS算法的描述中我们可以知道:MDS先求出了低维空间的内积矩阵B,接着使用特征值分解计算出了样本在低维空间中的坐标,但是并没有给出通用的投影向量w,因此对于需要降维的新样本无从下手,书中给出的权宜之计是利用已知高/低维坐标的样本作为训练集学习出一个“投影器”,便可以用高维坐标预测出低维坐标。Isomap算法流程如下图:

    14.png

    对于近邻图的构建,常用的有两种方法:一种是指定近邻点个数,像kNN一样选取k个最近的邻居;另一种是指定邻域半径,距离小于该阈值的被认为是它的近邻点。但两种方法均会出现下面的问题:

    邻域范围指定过大,则会造成“短路问题”,即本身距离很远却成了近邻,将距离近的那些样本扼杀在摇篮。若邻域范围指定过小,则会造成“断路问题”,即有些样本点无法可达了,整个世界村被划分为互不可达的小部落。

    11.5.2 局部线性嵌入(LLE)

    不同于Isomap算法去保持邻域距离,LLE算法试图去保持邻域内的线性关系,假定样本xi的坐标可以通过它的邻域样本线性表出:

    15.png

    16.png

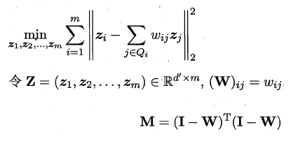
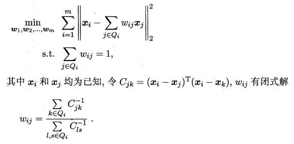
    LLE算法分为两步走,首先第一步根据近邻关系计算出所有样本的邻域重构系数w

    17.png

    接着根据邻域重构系数不变,去求解低维坐标

    18.png

    这样利用矩阵M,优化问题可以重写为:

    19.png

    M特征值分解后最小的d’个特征值对应的特征向量组成Z,LLE算法的具体流程如下图所示:

    20.png